返回
化工字典
首页
客服小蜜
会员中心
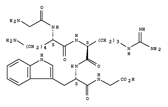
中文名称:
H-GLY-LYS-ARG-TRP-GLY-OH
英文名称:
Glycine,glycyl-L-lysyl-L-arginyl-L-tryptophyl- (9CI)
CAS No:
313642-02-3
EINECS号:
分 子 式:
C
27
H
42
N
10
O
6
分 子 量:
0
密 度:
闪 点:
熔 点:
沸 点:
危险品标志:
风险术语:
分子结构:
关于我们
联系我们
产品目录
化工百科
@2009-2026 洛克化工网 浙ICP备16009103号