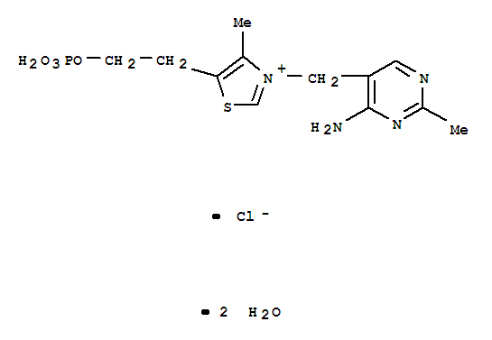
| 中文名称: | 3-[(4-氨基-2-甲基-5-嘧啶基)甲基]-4-甲基-5-[2-(膦酰氧基)乙基]-噻唑氯化物二水合物 |
| 英文名称: | Thiazolium,3-[(4-amino-2-methyl-5-pyrimidinyl)methyl]-4-methyl-5-[2-(phosphonooxy)ethyl]-,chloride, hydrate (1:1:2) |
| CAS No: | 273724-21-3 |
| EINECS号: | |
| 分 子 式: | C12H18N4O4PS.Cl.2H2O |
| 分 子 量: | 487.724041 |
| 密 度: | |
| 闪 点: | |
| 熔 点: | |
| 沸 点: | |
| 危险品标志: | |
| 风险术语: | |
| 分子结构: |
![]() |