返回
化工字典
首页
客服小蜜
会员中心
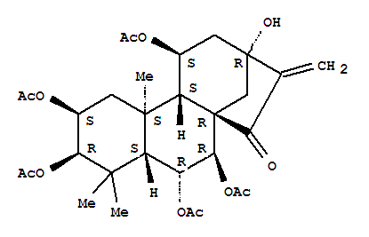
中文名称:
英文名称:
Kaur-16-en-15-one,2,3,6,7,11-pentakis(acetyloxy)-13-hydroxy-, (2b,3b,6a,7b,11b)- (9CI)
CAS No:
224789-77-9
EINECS号:
分 子 式:
C
30
H
40
O
12
分 子 量:
密 度:
闪 点:
熔 点:
沸 点:
危险品标志:
风险术语:
分子结构:
关于我们
联系我们
产品目录
化工百科
@2009-2026 洛克化工网 浙ICP备16009103号