返回
化工字典
首页
客服小蜜
会员中心
中文名称:
英文名称:
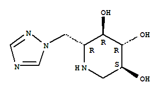
3,4,5-Piperidinetriol,2-(1H-1,2,4-triazol-1-ylmethyl)-, (2R,3R,4R,5S)-
CAS No:
748814-86-0
EINECS号:
分 子 式:
C
8
H
14
N
4
O
3
分 子 量:
214.22176
密 度:
闪 点:
熔 点:
沸 点:
危险品标志:
风险术语:
分子结构:
关于我们
联系我们
产品目录
化工百科
@2009-2026 洛克化工网 浙ICP备16009103号