| 中文名称: | |
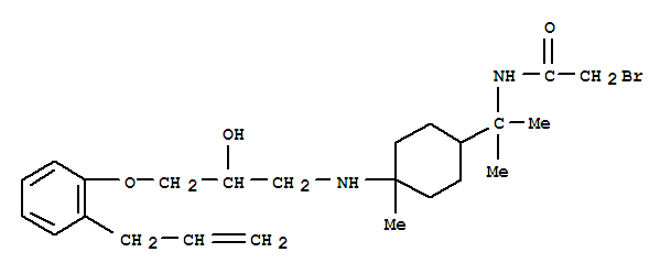
| 英文名称: | Acetamide,2-bromo-N-[1-[4-[[2-hydroxy-3-[2-(2-propen-1-yl)phenoxy]propyl]amino]-4-methylcyclohexyl]-1-methylethyl]- |
| CAS No: | 76298-89-0 |
| EINECS号: | |
| 分 子 式: | C24H37BrN2O3 |
| 分 子 量: | 0 |
| 密 度: | 1.23g/cm3 |
| 闪 点: | 336.8°C |
| 熔 点: | |
| 沸 点: | 633.3°C at 760 mmHg |
| 危险品标志: | |
| 风险术语: | |
| 分子结构: |
![]() |