返回
化工字典
首页
客服小蜜
会员中心
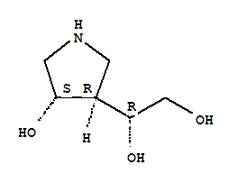
中文名称:
1,2-乙二醇,1-[(3R,4S)-4-羟基-3-吡咯烷基]-,(1R)-rel-
英文名称:
1,2-Ethanediol,1-[(3R,4S)-4-hydroxy-3-pyrrolidinyl]-, (1R)-rel-
CAS No:
779337-55-2
EINECS号:
分 子 式:
C
6
H
13
NO
3
分 子 量:
0
密 度:
闪 点:
熔 点:
沸 点:
危险品标志:
风险术语:
分子结构:
关于我们
联系我们
产品目录
化工百科
@2009-2026 洛克化工网 浙ICP备16009103号