返回
化工字典
首页
客服小蜜
会员中心
中文名称:
英文名称:
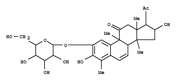
19-Norpregna-1,3,5(10),6-tetraene-11,20-dione,2-(b-D-glucopyranosyloxy)-3,16-dihydroxy-4,9,14-trimethyl-,(9b,16a)- (9CI)
CAS No:
159650-33-6
EINECS号:
分 子 式:
C
29
H
38
O
10
分 子 量:
密 度:
闪 点:
熔 点:
沸 点:
危险品标志:
风险术语:
分子结构:
关于我们
联系我们
产品目录
化工百科
@2009-2026 洛克化工网 浙ICP备16009103号