返回
化工字典
首页
客服小蜜
会员中心
中文名称:
英文名称:
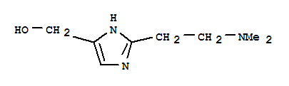
1H-Imidazole-5-methanol,2-[2-(dimethylamino)ethyl]-
CAS No:
756772-73-3
EINECS号:
分 子 式:
C
8
H
15
N
3
O
分 子 量:
0
密 度:
闪 点:
熔 点:
沸 点:
危险品标志:
风险术语:
分子结构:
关于我们
联系我们
产品目录
化工百科
@2009-2026 洛克化工网 浙ICP备16009103号