返回
化工字典
首页
客服小蜜
会员中心
中文名称:
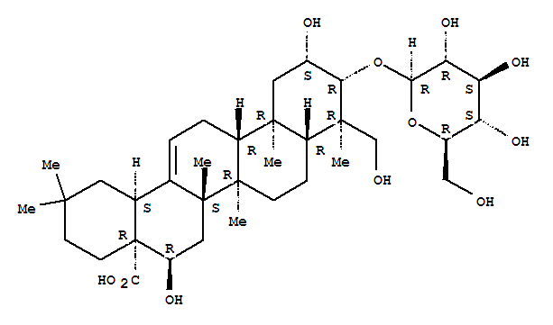
远志酸-3-O-β-D-吡喃葡萄糖苷
英文名称:
Olean-12-en-28-oicacid, 3-(b-D-glucopyranosyloxy)-2,16,23-trihydroxy-,(2b,3b,4a,16a)-
CAS No:
121368-52-3
EINECS号:
分 子 式:
C
36
H
58
O
11
分 子 量:
666.84
密 度:
闪 点:
熔 点:
沸 点:
危险品标志:
风险术语:
分子结构:
关于我们
联系我们
产品目录
化工百科
@2009-2026 洛克化工网 浙ICP备16009103号