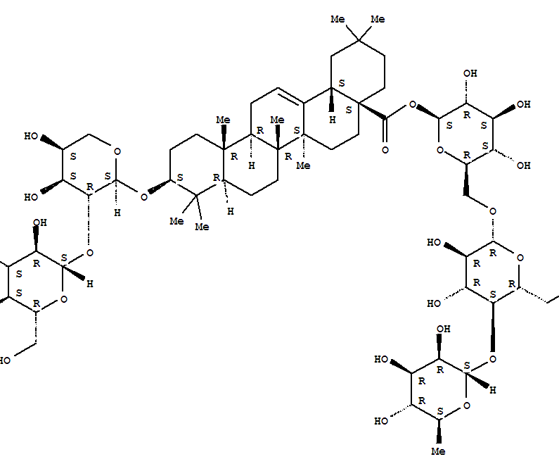
| 中文名称: | 刺五加皂甙A1 |
| 英文名称: | Olean-12-en-28-oicacid, 3-[(2-O-b-D-glucopyranosyl-a-L-arabinopyranosyl)oxy]-,O-6-deoxy-a-L-mannopyranosyl-(1®4)-O-b-D-glucopyranosyl-(1®6)-b-D-glucopyranosyl ester, (3b)- |
| CAS No: | 120768-65-2 |
| EINECS号: | |
| 分 子 式: | C59H96O26 |
| 分 子 量: | 1221.3 |
| 密 度: | 1.48±0.1 g/cm3(Predicted) |
| 闪 点: | |
| 熔 点: | |
| 沸 点: | |
| 危险品标志: | |
| 风险术语: | |
| 分子结构: |
![]() |