返回
化工字典
首页
客服小蜜
会员中心
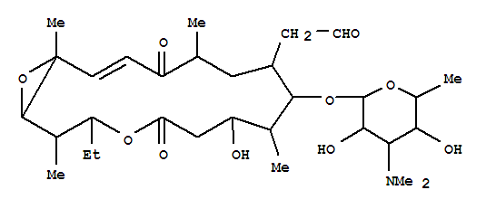
中文名称:
卷须霉素 A1
英文名称:
Cirramycin A1 (8CI,9CI)
CAS No:
25339-90-6
EINECS号:
分 子 式:
C
31
H
51
NO
10
分 子 量:
597.7373
密 度:
1.21g/cm
3
闪 点:
419.4°C
熔 点:
沸 点:
769.8°Cat760mmHg
危险品标志:
风险术语:
分子结构:
关于我们
联系我们
产品目录
化工百科
@2009-2026 洛克化工网 浙ICP备16009103号