返回
化工字典
首页
客服小蜜
会员中心
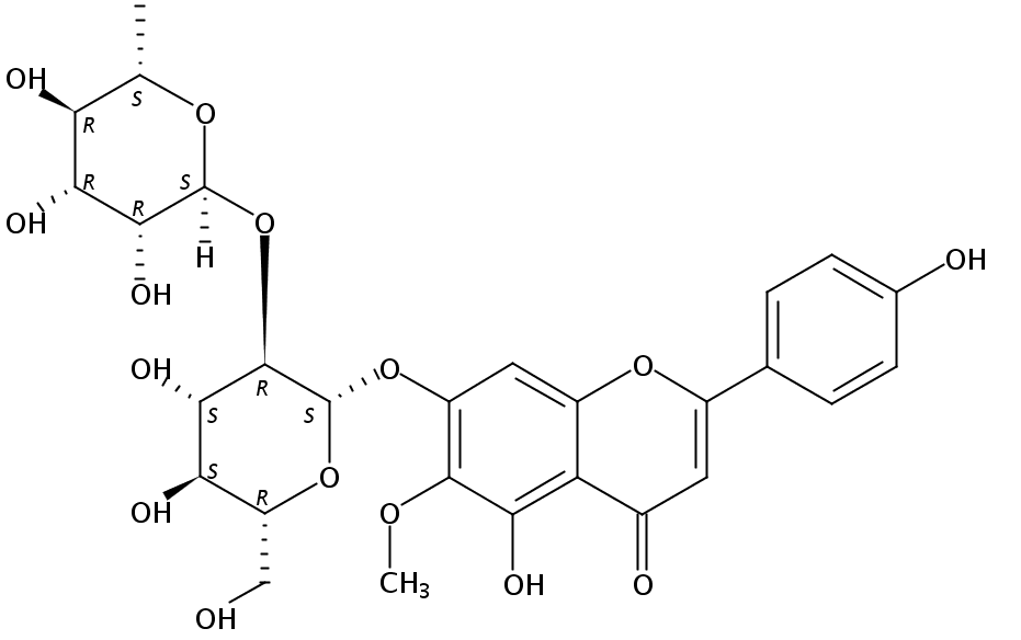
中文名称:
高车前素 7-O-新橙皮糖苷
英文名称:
CAS No:
156186-00-4
EINECS号:
分 子 式:
分 子 量:
密 度:
闪 点:
熔 点:
沸 点:
危险品标志:
风险术语:
分子结构:
关于我们
联系我们
产品目录
化工百科
@2009-2026 洛克化工网 浙ICP备16009103号