返回
化工字典
首页
客服小蜜
会员中心
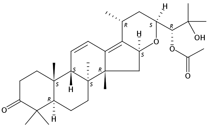
中文名称:
泽泻醇O
英文名称:
Alisol O
CAS No:
928148-51-0
EINECS号:
分 子 式:
分 子 量:
密 度:
闪 点:
熔 点:
沸 点:
危险品标志:
风险术语:
分子结构:
关于我们
联系我们
产品目录
化工百科
@2009-2026 洛克化工网 浙ICP备16009103号