返回
化工字典
首页
客服小蜜
会员中心
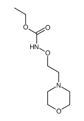
中文名称:
(2-morpholin-4-yl-ethoxy)-carbamic acid ethyl ester
英文名称:
(2-morpholin-4-yl-ethoxy)-carbamic acid ethyl ester
CAS No:
6514-43-8
EINECS号:
分 子 式:
C9H18N2O4
分 子 量:
218.25000
密 度:
闪 点:
熔 点:
沸 点:
危险品标志:
风险术语:
分子结构:
关于我们
联系我们
产品目录
化工百科
@2009-2026 洛克化工网 浙ICP备16009103号