返回

广西壮族自治区麦芽五糖

关于广西壮族自治区麦芽五糖的推荐说明

尊敬的小主:非常抱歉,纵然我使出洪荒之力,但未匹配到广西壮族自治区地区 麦芽五糖产品的供应商信息。不过请您不要失望,因为洛克化工网为您推荐了麦芽五糖产品其他地区的优质供应商,同时还为您提供了麦芽五糖产品的基本理化性质、上下游产品、相关的市场资讯行情信息等。希望能让小主满意,洛克化工网也会继续努力,争取您下一次的搜索会是更完美的结果。

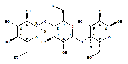
麦芽五糖的基本信息

中文名:
麦芽五糖
CAS NO.:
1668-09-3
分子式:
C30H52O26
溶点:
中文别名:
麦芽五糖
EINECS号:
252-118-9
分子量:
828.72
沸点:

关于广西壮族自治区麦芽五糖的行情资讯

@2009-2026 洛克化工网 浙ICP备16009103号