返回

北京市

关于北京市的推荐说明

尊敬的小主:非常抱歉,纵然我使出洪荒之力,但未匹配到北京市地区 产品的供应商信息。不过请您不要失望,因为洛克化工网为您推荐了产品其他地区的优质供应商,同时还为您提供了产品的基本理化性质、上下游产品、相关的市场资讯行情信息等。希望能让小主满意,洛克化工网也会继续努力,争取您下一次的搜索会是更完美的结果。

的基本信息

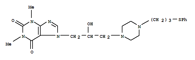
中文名:
CAS NO.:
23146-07-8
分子式:
C10H12N4O3
溶点:
中文别名:
EINECS号:
分子量:
236.22700
沸点:
推荐上/下游

关于北京市的行情资讯

@2009-2026 洛克化工网 浙ICP备16009103号