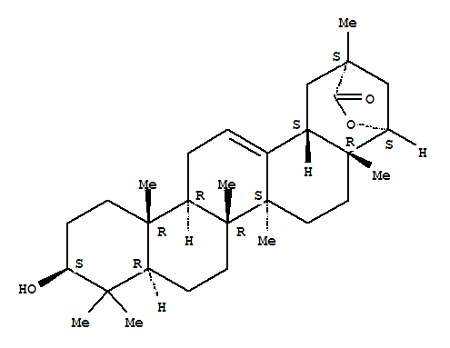
- 产品名称
- 雷公藤内酯甲
- CAS NO
- 84104-71-2
- 中文别名
- 雷公藤内酯A;雷公藤酯甲;
- 英文名称
- Olean-12-en-29-oicacid, 3,22-dihydroxy-, g-lactone, (3b,20a,22a)-
- 英文别名
- 4,2-(Epoxymethano)picene,olean-12-en-29-oic acid deriv.; (-)-Abruslactone A; Abruslactone A; Regelide;Wilforlide A
- 分子式
- C30H46O3
- 分子量
- 454.6844
- EINECS
- 熔点
- 318-320 °C
- 沸点
- 555oC at 760 mmHg
- 毒性
成都曼思特生物科技有限公司是一家专业从事中药对照品、高纯度植物单体研发以及中药对照品、高纯度植物单体、进口试剂批发与零售的企业。我们与中科院成都生物研究所合作建立了中药标准样品研制联合实验室。目前实验室拥有超导核磁共振仪、高分辨质谱仪、液相色谱质谱联用仪、制备高效液相色谱仪、分析用Agilent液相色谱仪等高尖端检测与纯化设备。拥有在中药化学成分分离纯化方面一大批技术过硬的技术人员。公司通过多年的努力,与各大科研院校、制药企业、药检部门以及国内外各试剂商建立了良好的合作关系。通过对自身产品及服务质量的不断改善与提升,一直被国内外知名院校及科研部门作为中药对照样品的及指定供货商。
联系人:何女士 QQ:285126137 联系电话:18011593992 028-85287229
- 公司规模
-
- 认证信息
-
洛克
- 公司类型
- -
- 所在地区
- 四川省 成都
- 联系人
- 何女士
- 电 话
- 028-85287229
- QQ
- 2851261377
- 地 址
- 四川省成都市武侯区武侯新城武兴二路17号“力德时代”13栋B-802