返回产品详情

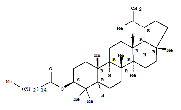
羽扇豆醇棕榈酸酯 ;  (3beta)-羽扇-20(29)-烯-3-醇十六碳酸酯

羽扇豆醇棕榈酸酯 ; (3beta)-羽扇-20(29)-烯-3-醇十六碳酸酯

上海同田生物技术股份有限公司

上海市 上海

产品名称
羽扇烯基棕榈酸酯
CAS NO
32214-80-5
中文别名
羽扇烯基棕榈酸酯
英文名称
Lup-20(29)-en-3-ol,3-(hexadecanoate), (3b)-
英文别名
Lup-20(29)-en-3-ol,hexadecanoate, (3b)-(9CI); Lup-20(29)-en-3b-ol, palmitate (8CI); 3-Palmitoyllupeol; Balanophorin B; Lupenylpalmitate; Lupeol palmitate; Lupeyl palmitate; Sambuculin A
分子式
C46H80O2
分子量
0
EINECS
熔点
110℃
沸点
659.5°Cat760mmHg
毒性
@2009-2026 洛克化工网 浙ICP备16009103号