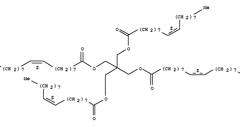
- 产品名称
- (Z)-2,2二甲基-1,3-丙二醇二-9-十八碳烯酸酯
- CAS NO
- 42222-50-4
- 中文别名
- (Z)-2,2二甲基-1,3-丙二醇二-9-十八碳烯酸酯;二油酸新戊二醇酯;
- 英文名称
- 9-Octadecenoicacid(Z)-,2,2-dimethyl-1,3-propanediylester
- 英文别名
- 9-Octadecenoicacid(Z)-,2,2-dimethyl-1,3-propanediylester;Neopentylglycoldioleate
- 分子式
- C41H76O4
- 分子量
- 633.04000
- EINECS
- 熔点
- 沸点
- 662.2oC at 760 mmHg
- 毒性
新戊二醇二油酸酯
新戊二醇二油酸酯
组 成: 新戊二醇二油酸酯
英文名称: Neopentylglycol Dioleate
项目 新戊二醇二油酸酯
外观(25°C) 淡黄色透明液体
运动粘度(mm2/s) ?
40℃ 22.0-22.8
100℃ 6
密度,20℃, g/cm3 0.85-0.88
酸值(mgKOH/g) ≤0.5
闪点(°C) ≥200
倾点(°C) ≤-24.0
皂化值(mgKOH/g) 140-150
水分(%) ≤0
注:部分指标可根据客户需要作相应的调整
性能及应用 :本品是一类具有极好性能的酯类化合物,它具有优良的粘温特性,良好的低温特性,高温稳定性,低挥发性,因而能满足较高的润滑要求,被广泛用于金属切削、拉丝等加工用基础油。
包 装: 180Kg 铁桶或塑料桶
贮 运:按无毒、非危险品储运,储存于阴凉干燥通风处。
- 公司规模
- 101 - 500 人
- 认证信息
-
洛克
- 公司类型
- -
- 所在地区
- 山东省 聊城
- 联系人
- 李现辉
- 电 话
- 13863532100
- QQ
- 109206044
- 地 址
- 山东聊城开发区星光城市广场创业大厦A1605