- 产品名称
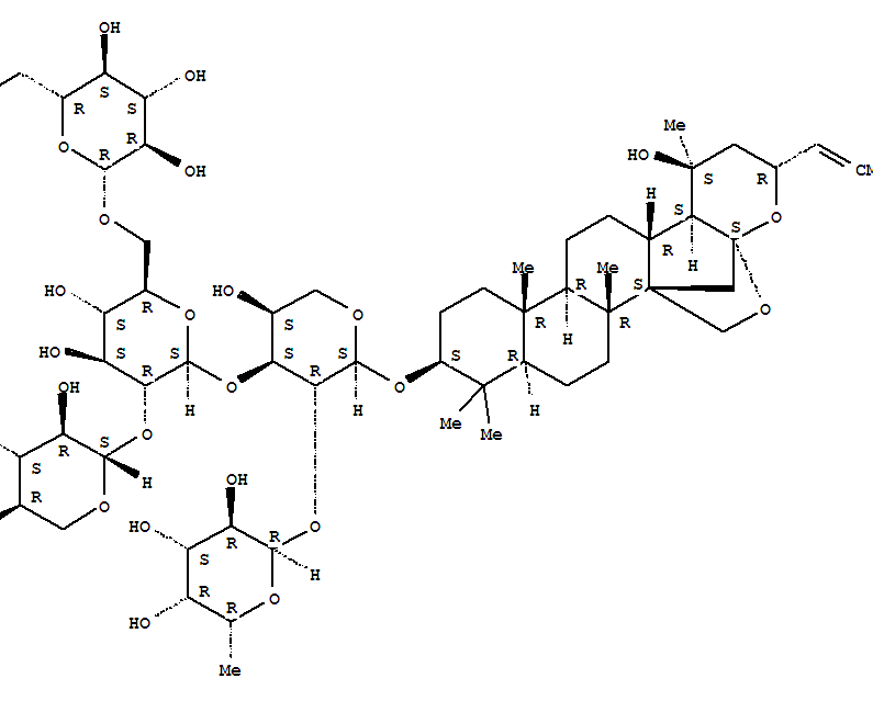
- 酸枣仁皂甙D
- CAS NO
- 194851-84-8
- 中文别名
- 酸枣仁皂苷D;酸枣仁皂苷A1;
- 英文名称
- a-L-Arabinopyranoside, (3b,16b,23R)-16,23:16,30-diepoxy-20-hydroxydammar-24-en-3-ylO-6-deoxy-a-D-galactopyranosyl-(1®2)-O-[O-b-D-glucopyranosyl-(1®6)-O-[b-D-xylopyranosyl-(1®2)]-b-D-glucopyranosyl-(1®3)]-
- 英文别名
- JujubosideA1; Jujuboside D
- 分子式
- C58H94O26
- 分子量
- 1207.3514
- EINECS
- 熔点
- 沸点
- °Cat760mmHg
- 毒性
中文名:酸枣仁皂苷A1,英文名:Jujuboside A1,CAS号:194851-84-8,纯度:,更多产品,更多资料,请联系我们!
上海金畔生物科技有限公司
订货热线:15221999938
网 址: www.jinpanbio.com www.jinpanbio.cn
Email:sales@jinpanbio.com
- 公司规模
- 11 - 50 人
- 认证信息
-
洛克
- 公司类型
- -
- 所在地区
- 上海市 上海
- 联系人
- 朱经理
- 电 话
- 15221999938
- QQ
- 2743691513
- 地 址
- 浦东新区东靖路699弄36栋701