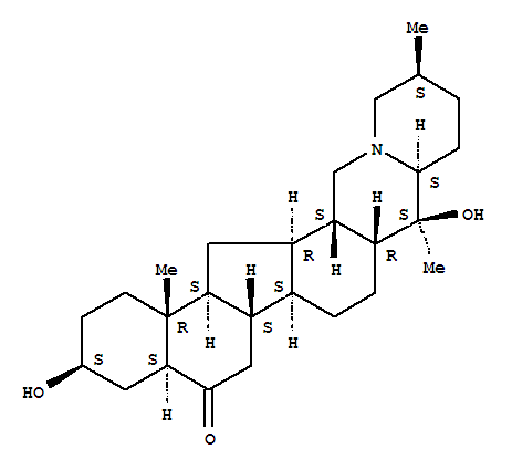
- 产品名称
- 西贝母碱
- CAS NO
- 61825-98-7
- 中文别名
- 西贝素;西贝素.西贝碱;
- 英文名称
- Cevan-6-one,3,20-dihydroxy-, (3b,5a,17b)-
- 英文别名
- Imperialine(6CI,7CI); Benzo[7,8]fluoreno[2,1-b]quinolizine, cevan-6-one deriv.;Kashmirine; NSC 282170; Sipeimine
- 分子式
- C27H43NO3
- 分子量
- 429.63500
- EINECS
- 熔点
- 267 °C(Solv: methanol (67-56-1))
- 沸点
- 567.1oC at 760 mmHg
- 毒性
中文名:西贝母碱,英文名:Imperialine,CAS号:61825-98-7,纯度:0.98,更多产品,更多资料,请联系我们!
上海金畔生物科技有限公司
订货热线:15221999938
网 址: www.jinpanbio.com www.jinpanbio.cn
Email:sales@jinpanbio.com
- 公司规模
- 11 - 50 人
- 认证信息
-
洛克
- 公司类型
- -
- 所在地区
- 上海市 上海
- 联系人
- 朱经理
- 电 话
- 15221999938
- QQ
- 2743691513
- 地 址
- 浦东新区东靖路699弄36栋701