返回产品详情

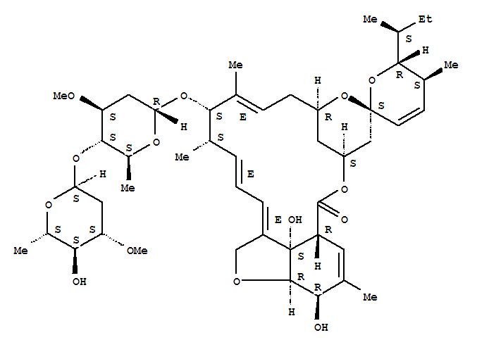
阿维菌素

阿维菌素

湖北银河大化工制造有限公司

湖北省 武汉

产品名称
阿维菌素
CAS NO
65195-55-3
中文别名
阿维菌素B1a;阿巴汀;
英文名称
Avermectin A1a,5-O-demethyl-
英文别名
Spiro[11,15-methano-2H,13H,17H-furo[4,3,2-pq][2,6]benzodioxacyclooctadecin-13,2'-[2H]pyran],avermectin A1a deriv.; Abamectin B1a; Antibiotic C 076B1a; Avermectin B1a; L676863
分子式
C48H72O14
分子量
873.07700
EINECS
265-610-3
熔点
157-162oC
沸点
940.9oC at 760 mmHg
毒性
@2009-2026 洛克化工网 浙ICP备16009103号