返回产品详情

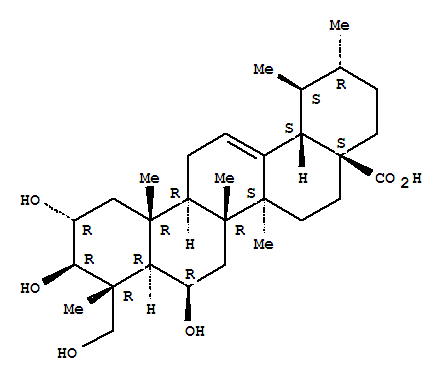
羟基积雪草酸

羟基积雪草酸

成都普利斯生物科技有限公司

四川省 成都

产品名称
羟基积雪草酸
CAS NO
18449-41-7
中文别名
(2alpha,3beta,4alpha,6beta)-2,3,6,23-Tetrahydroxy-urs-12-en-28-oic acid
英文名称
Urs-12-en-28-oic acid,2,3,6,23-tetrahydroxy-, (2a,3b,4a,6b)-
英文别名
Brahmicacid (6CI); Urs-12-en-28-oic acid, 2a,3b,6b,23-tetrahydroxy- (8CI); 2a,3b,6b,23-Tetrahydroxy-urs-12-en-28-oic acid; 6b-Hydroxyasiatic acid; Madecassic acid; NSC 88135
分子式
C30H48O6
分子量
504.71
EINECS
安全数据
熔点
270ºC (dec.)
沸点
641.7ºC at 760 mmHg
毒性
@2009-2026 洛克化工网 浙ICP备16009103号