返回产品详情

巴非替尼;巴氟替尼

巴非替尼;巴氟替尼

台州市晟欣医药化工有限公司

产品名称
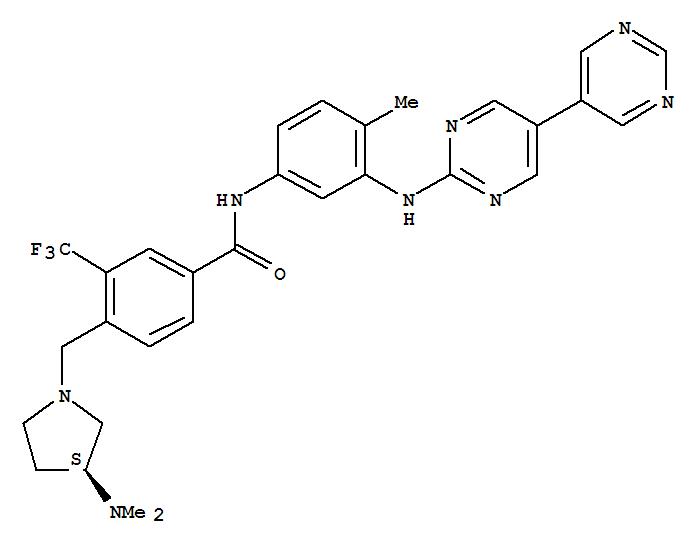
巴非替尼; N-[3-([5,5'-联嘧啶]-2-基氨基)-4-甲基苯基]-4-[[(3S)-3-(二甲基氨基)-1-吡咯烷基]甲基]-3-(三氟甲基)苯甲酰胺
CAS NO
887650-05-7
中文别名
N-[3-([5,5'-Bipyrimidin]-2-ylamino)-4-methylphenyl]-4-[[(3S)-3-(dimethylamino)-1-pyrrolidinyl]methyl]-3-(trifluoromethyl)benzamide
英文名称
Benzamide,N-[3-([5,5'-bipyrimidin]-2-ylamino)-4-methylphenyl]-4-[[(3S)-3-(dimethylamino)-1-pyrrolidinyl]methyl]-3-(trifluoromethyl)-
英文别名
N-[3-([5,5'-Bipyrimidin]-2-ylamino)-4-methylphenyl]-4-[[(3S)-3-(dimethylamino)-1-pyrrolidinyl]methyl]-3-(trifluoromethyl)benzamide
分子式
C30H31F3N8O
分子量
576.62
EINECS
1312995-182-4
熔点
沸点
毒性
@2009-2026 洛克化工网 浙ICP备16009103号