返回产品详情

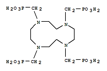
1,4,7,10-四氮杂环十二烷-1,4,7,10-四(甲基膦酸)

1,4,7,10-四氮杂环十二烷-1,4,7,10-四(甲基膦酸)

郑州杰克斯化工产品有限公司

河南省 郑州

产品名称
1,4,7,10-四氮杂环十二烷-1,4,7,10-四(甲基膦酸)
CAS NO
91987-74-5
中文别名
1,4,7,10-四氮杂环十二烷-1,4,7,10-四(甲基膦酸);1,4,7,10-四氮杂环十二烷-1,4,7,10-四(甲基磷酸);((1,4,7,10-四氮杂环十二烷-1,4,7,10-四基)四(亚甲基))四磷酸;1,4,7,10-四氮杂环十二烷-1,4,7,10-四基-四(甲基膦酸)
英文名称
Phosphonic acid,P,P',P'',P'''-[1,4,7,10-tetraazacyclododecane-1,4,7,10-tetrayltetrakis(methylene)]tetrakis-
英文别名
Phosphonicacid, [1,4,7,10-tetraazacyclododecane-1,4,7,10-tetrayltetrakis(methylene)]tetrakis-(9CI); 1,4,7,10-Tetraazacyclododecane, phosphonic acid deriv.;1,4,7,10-Tetraazacyclododecane-1,4,7,10-tetrakis(methylenephosphonic acid);1,4,7,10-Tetraazacyclododecane-1,4,7,10-tetramethylenephosphonic acid;1,4,7,10-Tetraazacyclododecane-N,N',N'',N'''-tetramethylenephosphonic acid;DOTMP; DOTP;N,N',N'',N'''-Tetrakis(phosphonomethyl)-1,4,7,10-tetraazacyclododecane; NSC681106
分子式
C12H32N4O12P4
分子量
548.3
EINECS
熔点
280℃ (DEC.)
沸点
921.6°Cat760mmHg
毒性
@2009-2026 洛克化工网 浙ICP备16009103号