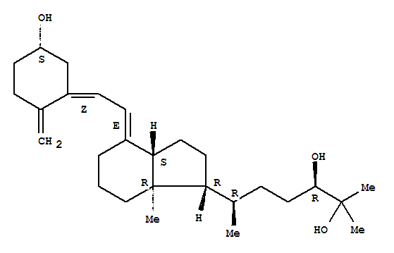
- 产品名称
- 双氢速甾醇
- CAS NO
- 67-96-9
- 中文别名
- 双氢速甾醇晶体;多沙唑嗪杂质F;二氢速留醇;二氢速固醇;二氢速甾醇
- 英文名称
- Dihydrotachysterol
- 英文别名
- 9,10-Secoergosta-5,7,22-trien-3-ol,(3b,5E,7E,10a,22E)- (9CI);Tachysterol,dihydro- (7CI,8CI);Tachysterol2, dihydro- (6CI);24-Methyl-9,10-secocholesta-5,7,22-trien-3b-ol;9,10-Secoergosta-5,7,22-trien-3b-ol;A.T. 10;A.T. 10 (steroid);Anti-tetany substance 10;Antitanil;Calcamine;DHT2;Dichystrolum;Dihydral;
- 分子式
- C28H46O
- 分子量
- 398.66
- EINECS
- 200-672-7
- 熔点
- 116-120°C
- 沸点
- 499.5 °C at 760 mmHg
- 毒性
Dihydrotachysterol-2 / DHT2;COS / US DMF/ CEP/ cGMP;骨质疏松药
- 公司规模
- 51 - 100 人
- 认证信息
-
洛克
- 公司类型
- 贸易商
- 所在地区
- 上海市 上海
- 联系人
- 李经理
- 电 话
- 021-67121166-834
- QQ
- 地 址
- 上海市上海化学工业区舜工路69号