- 产品名称
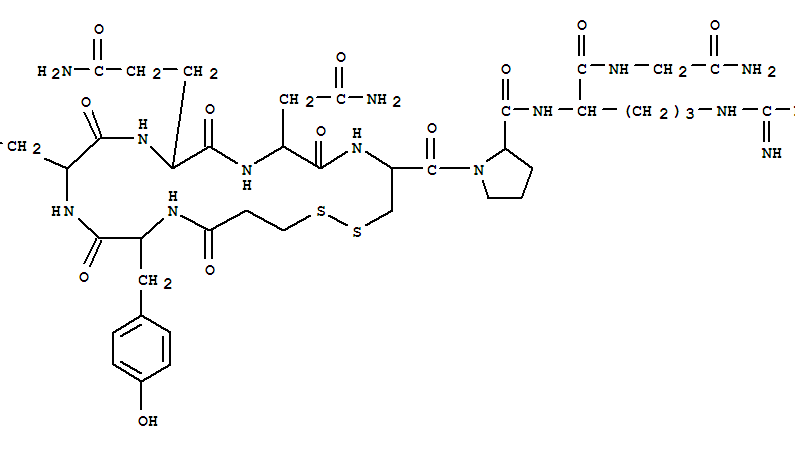
- 去氨加压素
- CAS NO
- 16679-58-6
- 中文别名
- 去氨加压素;醋酸去氨压素;的斯加压素;去氨加压素(ddavp);醋酸去氨加压素(ddavp)
- 英文名称
- Desmopressin
- 英文别名
- Vasopressin,1-(3-mercaptopropanoic acid)-8-D-arginine- (9CI);Vasopressin,1-(3-mercaptopropionic acid)-8-D-arginine- (8CI);1,2-Dithia-5,8,11,14,17-pentaazacycloeicosane, cyclic peptide deriv.;(1-Deamino-8-D-Arg)-vasopressin;1-(3-Mercaptopropionic acid)-8-D-arginine-vasopressin;1-Deamino-1-[D-Arg8]-vasopressin;1-Deamino-[8-D-arginine]vasopressin;1-Desamino-8-D-arginine-vasopressin;1-Desaminocystine-8-D-arginine-vasopressin;1: PN: US20020013262 PAGE: 2claimed protein;45: PN: WO2005000360 SEQID: 40 claimed protein;58: PN:US20050009742 PAGE: 20 claimed sequence;8-D-Arginine deaminovasopressin;Adiuretin;Adiuretin SD;DAV Ritter;DDAVP;Glycinamide,N-(3-mercapto-1-oxopropyl)-L-tyrosyl-L-phenylalanyl-L-glutaminyl-L-asparaginyl-L-cysteinyl-L-prolyl-D-arginyl-,cyclic (1®5)-disulfide;Desmospray;Minirin;Minrin;[1-b-Mercaptopropionicacid-8-D-arginine]vasopressin;[Deamino1-D-arginine8]vasopressin;[Desamino-Cys1,D-Arg8]vasopressin;
- 分子式
-
C46H64N14O12S2
- 分子量
- 1069.22
- EINECS
- 240-726-7
- 熔点
- 沸点
- 毒性
- 公司规模
-
- 认证信息
-
- 公司类型
- 贸易商
- 所在地区
- 浙江省 杭州
- 联系人
- 电 话
- +86-571-88388397
- QQ
- 地 址
- 湖墅南路186路丽阳商务大厦3A05室