返回产品详情

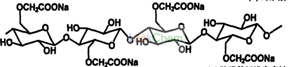
羧甲基纤维素钠

宝鸡市国康海思化学技术有限公司

陕西省 宝鸡

产品名称
羧甲基纤维素钠
CAS NO
9004-32-4
中文别名
羧甲基纤维素钠(食品级);羧甲基醚纤维素钠盐;羧甲基纤维素(IM6);羧甲基纤维素钠盐;羧甲基纤维素钠盐800-1200;羧甲基纤维素钠(CMC);纤维素胶;CMC-工业蚊香级;CMC-建筑涂料级;CMC-石油级;CMC-食品级;CMC-洗涤级;羧甲纤维素;羧甲基纤维素;CMC
英文名称
Carboxymethyl cellulose
英文别名
12M31XP;1400LC; 2000MH; 7H3SF; 7H3SX; 7H4XF; 7L2C; 7MXF; 9H4F-CMC; 9H4XF; 9M31X; A0111; A 01H; A 01L; A 01M; A 02SH; A 10M; A 50M; AG; AG Gum; AG Gum HE 2; AGGum HG; AG Gum LV 1; AG Gum LV 2; AG Gum M; AG Gum SG; AKU-W 515; AL 12355;AOIH; APP 84; Ac-Of-Sol; Admiral 3541; Akucell 07071; Akucell AF 0305; AkucellAF 2205; Akucell AF 2805; Akucell AF 2881; Akucell AF 2895; Akucell AF 2985;Akucell AF 3185; Akucell AF 3275; Akucell HF 300; Akzo 1.1CMC; Akzo 1.2CMC; Akzo1.3DS; Ambergum 1221; Ambergum 1521; Ambergum 1570; Ambergum 3021; Ambergum99-3021; Anestogam 9450; Antizol; Antizol (cellulose deriv.); Aquacel; AquacelHydrofiber; Aquacide I; Aquacide II; Aqualon 12M31; Aqualon 12M31P; Aqualon12M8P; Aqualon 7H; Aqualon 7H3SXF-PH; Aqualon 7HF; Aqualon 7LF-PH; Aqualon7LFH; Aqualon 7M2; Aqualon 7M8SFPH; Aqualon 7MF; Aqualon 9H4F; Aqualon CMC;Aqualon CMC 12M8; Aqualon CMC 7H; Aqualon CMC 7H4F; Aqualon CMC 7H4XF; AqualonCMC 7HCF; Aqualon CMC 7HX; Aqualon CMC 7L; Aqualon CMC 7L2; Aqualon CMC 7L2T;A
分子式

 

分子量
262.19000
EINECS
900-432-4
熔点
274 °C (dec.)
沸点
527.1°C at 760 mmHg
毒性
@2009-2026 洛克化工网 浙ICP备16009103号