- 产品名称
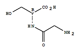
- 甘氨酰-D-丝氨酸
- CAS NO
- 82660-87-5
- 中文别名
- 甘氨酰-D-丝氨酸
- 英文名称
- D-Serine,glycyl-
- 英文别名
- D-Serine,N-glycyl-; Glycyl-D-serine;N-Glycyl-D-serine; NSC 523194
- 分子式
- C5H10N2O4
- 分子量
- 162.14
- EINECS
- 熔点
- 沸点
- 513oC at 760 mmHg
- 毒性
杭州专肽生物(www.allpeptide.com)一直致力于、专注于修饰多肽的合成及研发,目前已经在很多方面取得了突破,并获得定制多肽行业的认可。 各类修饰让多肽的结构丰富起来,可以在多肽的N端、C端、活性侧链基团(羧基、氨基、羟基、酚羟基、巯基等)进行改造或形成各类环肽。同时多肽修饰让多肽的运用更加广泛起来,几乎所有的生物研究领域都有涉及到多肽,包括比较热门的肿瘤领域、生物材料领域,核磁共振领域等。
各类糖肽
各类荧光标记肽(Fam、FITC、TAMRRA、CY等)
含有DOTA、NOTA、DTPA等放射性螯合物前体多肽
众多羧基化合物和氨基化合物修饰的肽段
引入叠氮、炔基、烯基结构的肽段及点击化学运用
小分子、大分子PEG修饰
环肽(如酰胺、二硫键、硫酯、硫醚键、脲基成环)
引入叠氮、炔基、烯基结构的肽段及点击化学运用
同位素标记肽
环二肽
KLH和BSA蛋白载体多肽
R8S5订书肽
Dansyl和EDANS双标记肽
磷酸化肽磺酸化肽
甲基化肽
MAPs多聚抗原肽
醛肽
CMK、AMC、pNA
- 公司规模
- 51-100人
- 认证信息
-
洛克
- 公司类型
- 实验室
- 所在地区
- 浙江省 杭州
- 联系人
- 向海林
- 电 话
- 17342063383
- QQ
- 1632525557
- 地 址
- 浙江省杭州市桐庐县城迎春南路28号迎春智谷一区423-8(欢迎电话17342063383、微信allpeptide、QQ1632525557咨询)