返回产品详情

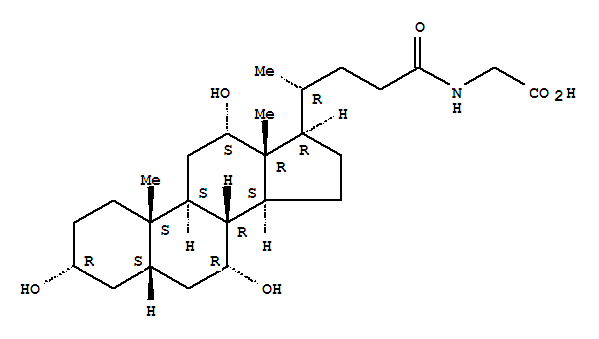
甘氨胆酸

甘氨胆酸

山东西亚化学有限公司

山东省 临沂

产品名称
甘氨胆酸
CAS NO
475-31-0
中文别名
3a,7a,12a-Trihydroxy-5b-cholan-24-oic acid N-(carboxymethyl)amide; Cholylglycine; N-(3-alpha,7-alpha,12-alpha-Trihydroxycholan-24-oyl)glycine
英文名称
Glycine, N-[(3a,5b,7a,12a)-3,7,12-trihydroxy-24-oxocholan-24-yl]-
英文别名
Glycine,N-choloyl- (8CI); Glycoreductodehydrocholic acid (6CI); 5b-Cholan-24-amide, N-(carboxymethyl)-3a,7a,12a-trihydroxy- (8CI); Cholane, glycine deriv.; 3a,7a,12a-Trihydroxy-5b-cholan-24-oylglycine; 3a,7a,12a-Trihydroxy-5b-cholanic acid-24-glycine; 3a,7a,12a-Trihydroxy-N-(carboxymethyl)-5b-cholan-24-amide; Cholylglycine;Glycine cholate; Glycocholic acid; Glycylcholic acid; N-Choloylglycine
分子式
C26H43NO6
分子量
465.63
EINECS
207-494-9
熔点
128°C
沸点
692.042 °C at 760 mmHg
毒性
暂无
@2009-2026 洛克化工网 浙ICP备16009103号