返回产品详情

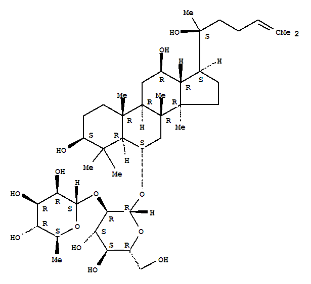
人参皂苷Rg2

人参皂苷Rg2

北京谨明生物科技有限公司

北京市 北京

产品名称
人参皂苷 Rg2
CAS NO
52286-74-5
中文别名
人参皂苷Rg2
英文名称
b-D-Glucopyranoside, (3b,6a,12b)-3,12,20-trihydroxydammar-24-en-6-yl 2-O-(6-deoxy-a-L-mannopyranosyl)-
英文别名
Dammarane,b-D-glucopyranoside deriv.;20(S)-Ginsenoside Rg2; Chikusetsusaponin I; GF VI; Ginsenoside Rg2; PanaxosideRg2; Prosapogenin C2
分子式
C42H72O13
分子量
785.01
EINECS
熔点
187~189℃
沸点
889.6oC at 760 mmHg
毒性
@2009-2025 洛克化工网 浙ICP备16009103号