返回产品详情

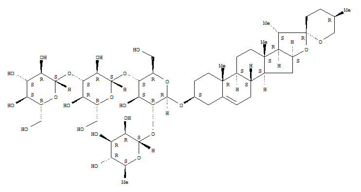
盾叶新苷

盾叶新苷

北京谨明生物科技有限公司

北京市 北京

产品名称
盾叶新苷
CAS NO
91653-50-8
中文别名
盾叶新苷
英文名称
b-D-Glucopyranoside, (3b,25R)-spirost-5-en-3-yl O-b-D-glucopyranosyl-(1®3)-O-b-D-glucopyranosyl-(1®4)-O-[6-deoxy-a-L-mannopyranosyl-(1®2)]-
英文别名
b-D-Glucopyranoside, (3b,25R)-spirost-5-en-3-ylO-6-deoxy-a-L-mannopyranosyl-(1®2)-O-[O-b-D-glucopyranosyl-(1®3)-b-D-glucopyranosyl-(1®4)]-;Spiro[8H-naphth[2',1':4,5]indeno[2,1-b]furan-8,2'-[2H]pyran], b-D-glucopyranoside deriv.;Spirostan, b-D-glucopyranoside deriv.; 3-O-b-D-Glucopyranosyl(1®3)-b-D-glucopyranosyl(1®4)-[a-L-rhamnopyranosyl(1®2)]-b-D-glucopyranoside-diosgenin;3-O-b-D-Glucopyranosyl-(1®3)-b-D-glucopyranosyl-(1®4)-[a-L-rhamnopyranosyl-(1®2)]-b-D-glucopyranosyldiosgenin;Diosgenin 3-O-b-D-Glucopyranosyl-(1®3)-b-D-glucopyranosyl-(1®4)-[a-L-rhamnopyranosyl-(1®2)]-b-D-glucopyranoside;Spirost-5-en-3-yl b-D-glucopyranosyl(1®3)-b-D-glucopyranosyl (1®4)-[a-L-rhamnopyranosyl(1®2)]-b-D-glucopyranoside; Zingiberensis saponin I
分子式
C51H82O22
分子量
0
EINECS
熔点
285-287 °C(Solv: methanol (67-56-1))
沸点
°Cat760mmHg
毒性
@2009-2026 洛克化工网 浙ICP备16009103号