返回产品详情

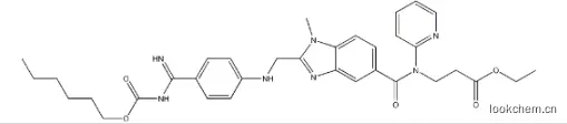
达比加群酯

安庆百谊生物科技有限公司

安徽省 安庆

产品名称
达比加群酯
CAS NO
211915-06-9
中文别名
英文名称
dabigatran etexilate
英文别名
phenol red sodium salt;Dabigatran etexilate;phenolsulfonephthalein sodium;PHENOL RED,ACS;PR sodium salt;phenolsulfonphthalein sodium salt;phenolsulphophthaleine sodium salt;
分子式
C34H41N7O5
分子量
627.73300
EINECS
606-722-8
熔点
128-129°
沸点
827.9oC at 760 mmHg
毒性
@2009-2026 洛克化工网 浙ICP备16009103号