返回产品详情

多肽定制
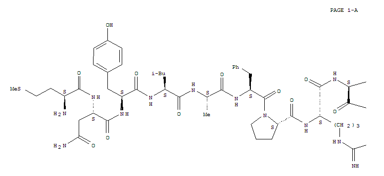
产品名称
MET-ASN-TYR-LEU-ALA-PHE-PRO-ARG-MET-NH2
CAS NO
84746-43-0
中文别名
英文名称
Small cardioactive peptide B
英文别名
18: PN: WO0114883SEQID: 30 claimed protein; Cardioactive peptide B (Aplysia californica); SCPB;Small cardioactive peptide B; Small cardioactive peptide B (Aplysiacalifornica); Small cardioexcitatory peptide B
分子式
C52H80N14O11S2
分子量
1141.4088
EINECS
熔点
沸点
毒性
@2009-2026 洛克化工网 浙ICP备16009103号