返回产品详情

多肽定制
产品名称
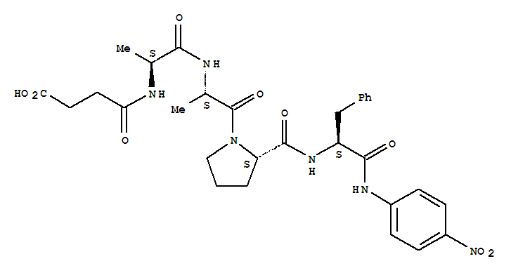
组织蛋白酶G基质I
CAS NO
70967-97-4
中文别名
N-琥珀酰-丙酰氨-丙酰氨-脯酰氨-苯丙氨酸对硝基酰苯胺
英文名称
L-Phenylalaninamide,N-(3-carboxy-1-oxopropyl)-L-alanyl-L-alanyl-L-prolyl-N-(4-nitrophenyl)-
英文别名
41: PN:CN101457218 PAGE: 2 claimed protein; 7: PN: WO0238108 FIGURE: 8 claimedprotein; N-Succinyl-L-alanyl-L-alanyl-L-prolyl-L-phenylalanine p-nitroanilide;Suc-Ala-Ala-Pro-Phe-p-nitroanilide; Succinyl-Ala-Ala-Pro-Phe-p-nitroanilide
分子式
C30H36N6O9
分子量
624.64
EINECS
熔点
沸点
1072.8oC at 760 mmHg
毒性
@2009-2026 洛克化工网 浙ICP备16009103号