返回产品详情

106021-96-9
产品名称
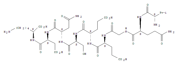
VAL-GLN-GLY-GLU-GLU-SER-ASN-ASP-LYS
CAS NO
106021-96-9
中文别名
英文名称
L-Lysine,L-valyl-L-glutaminylglycyl-L-a-glutamyl-L-a-glutamyl-L-seryl-L-asparaginyl-L-a-aspartyl-
英文别名
L-Lysine,N2-[N-[N2-[N-[N-[N-[N-(N2-L-valyl-L-glutaminyl)glycyl]-L-a-glutamyl]-L-a-glutamyl]-L-seryl]-L-asparaginyl]-L-a-aspartyl]-; 13: PN:US20060257420 SEQID: 13 claimed protein; 13: PN: WO0136448 SEQID: 13 claimedsequence; 13: PN: WO2009114869 SEQID: 13 claimed protein; 14: PN: US20040170972PAGE: 20 claimed sequence; 15: PN: US20050282263 SEQID: 15 claimed sequence;15: PN: WO03103605 SEQID: 15 claimed protein; 15: PN: WO2005091753 SEQID: 15claimed sequence; 1: PN: US20020088025 SEQID: 30 unclaimed sequence; 1: PN:US20050153873 PAGE: 9 unclaimed sequence; 29: PN: WO2009042538 SEQID: 15unclaimed protein; 2: PN: US20030003440 SEQID: 6 unclaimed sequence; 31: PN:US20030126631 SEQID: 22 unclaimed sequence; 35: PN: WO0189286 SEQID: 35 claimedsequence; 568: PN: WO0069900 SEQID: 1258 unclaimed sequence; 5: PN: WO2004014945PAGE: 9 unclaimed sequence; 995: PN: US20090175821 SEQID: 1258 claimed protein
分子式
C39H64N12O19
分子量
1004.99
EINECS
熔点
沸点
1682.6°Cat760mmHg
毒性
@2009-2026 洛克化工网 浙ICP备16009103号