- 产品名称
- GALANIN MESSAGE ASSOCIATED PEPTIDE (16-41) AMIDE
- CAS NO
- 129541-35-1
- 中文别名
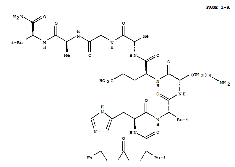
- LEU-GLN-SER-GLU-ASP-LYS-ALA-ILE-ARG-THR-ILE-MET-GLU-PHE-LEU-ALA-PHE-LEU-HIS-LEU-LYS-GLU-ALA-GLY-ALA-LEU-NH2
- 英文名称
- L-Leucinamide,L-leucyl-L-glutaminyl-L-seryl-L-a-glutamyl-L-a-aspartyl-L-lysyl-L-alanyl-L-isoleucyl-L-arginyl-L-threonyl-L-isoleucyl-L-methionyl-L-a-glutamyl-L-phenylalanyl-L-leucyl-L-alanyl-L-phenylalanyl-L-leucyl-L-histidyl-L-leucyl-L-lysyl-L-a-glutamyl-L-alanylglycyl-L-alanyl-(9CI)
- 英文别名
- PREPROGALANIN-NH2 (80-105);PREPROGALANIN (80-105) AMIDE;LQSEDKAIRTIMEFLAFLHLKEAGAL-NH2;LEU-GLN-SER-GLU-ASP-LYS-ALA-ILE-ARG-THR-ILE-MET-GLU-PHE-LEU-ALA-PHE-LEU-HIS-LEU-LYS-GLU-ALA-GLY-ALA-LEU-NH2;H-LEU-GLN-SER-GLU-ASP-LYS-ALA-ILE-ARG-THR-ILE-MET-GLU-PHE-LEU-ALA-PHE-LEU-HIS-LEU-LYS-GLU-ALA-GLY-ALA-LEU-NH2;GMAP (16-41) AMIDE;GALANIN MESSAGE ASSOCIATED PEPTIDE (16-41) AMIDE;galanin message associated peptide*fragment 16-41
- 分子式
- C134H219N35O37S
- 分子量
- 2944.45
- EINECS
- 熔点
- 沸点
- 毒性
Leu-Gln-Ser-Glu-Asp-Lys-Ala-Ile-Arg-Thr-Ile-Met-Glu-Phe-Leu-Ala-Phe-Leu-His-Leu-Lys-Glu-Ala-Gly-Ala-Leu-NH2|H-Leu-Gln-Ser-Glu-Asp-Lys-Ala-Ile-Arg-Thr-Ile-Met-Glu-Phe-Leu-Ala-Phe-Leu-His-Leu-Lys-Glu-Ala-Gly-Ala-Leu-NH2