返回产品详情

167875-35-6
产品名称
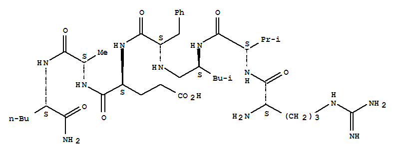
H-ARG-VAL-LEU-()-PHE-GLU-ALA-NLE-NH2
CAS NO
167875-35-6
中文别名
(S)-N-[2-[(N-L-精氨酰-L-缬氨酰)氨基]-4-甲基戊基-L-苯丙氨酰-L-ALPHA-谷氨酰-L-丙氨酰-L-正亮氨酰胺
英文名称
L-Norleucinamide,L-arginyl-L-valyl-L-leucyl-y(CH2-NH)-L-phenylalanyl-L-a-glutamyl-L-alanyl- (9CI)
英文别名
L-Norleucinamide,N-[2-[(N-L-arginyl-L-valyl)amino]-4-methylpentyl]-L-phenylalanyl-L-a-glutamyl-L-alanyl-, (S)-; N 1270
分子式
C40H69N11O8
分子量
832.04
EINECS
熔点
沸点
毒性
@2009-2026 洛克化工网 浙ICP备16009103号