返回产品详情

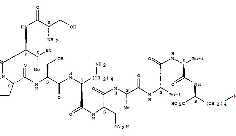
161928-96-7

161928-96-7

成都云希化工有限公司

四川省 成都

产品名称
CAS NO
161928-96-7
中文别名
英文名称
Sodefrin (Cynopspyrrhogaster) (9CI)
英文别名
L-Lysine,L-seryl-L-isoleucyl-L-prolyl-L-seryl-L-lysyl-L-a-aspartyl-L-alanyl-L-leucyl-L-leucyl-; Sodefrin;Sodefrin (Cynops pyrrhogaster adbominal gland)
分子式
C48H86N12O15
分子量
0
EINECS
熔点
沸点
1454.4±65.0 °C(Predicted)
毒性
@2009-2026 洛克化工网 浙ICP备16009103号