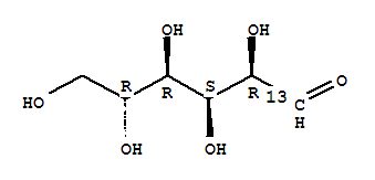
- 产品名称
- D-(+)-葡萄糖-1-(13C)
- CAS NO
- 40762-22-9
- 中文别名
- D-葡萄糖-1-13C;葡萄糖-1-13C
- 英文名称
- D-Glucose-1-13C
- 英文别名
- D-[1-13C]Glucose;Glucose-1-13C; [1-13C]-D-Glucose; [1-13C]D-Glucose
- 分子式
- C6H12O6
- 分子量
- 181.15
- EINECS
- 熔点
- 150-152 °C(lit.)
- 沸点
- 毒性
- 公司规模
- 6-10人
- 认证信息
-
洛克
研发
- 公司类型
- 实验室
- 所在地区
- 湖北省 武汉
- 联系人
- 邵经理
- 电 话
- 16621771607
- QQ
- 2457984128
- 地 址
- 东西湖区宏图路金银潭现代企业城