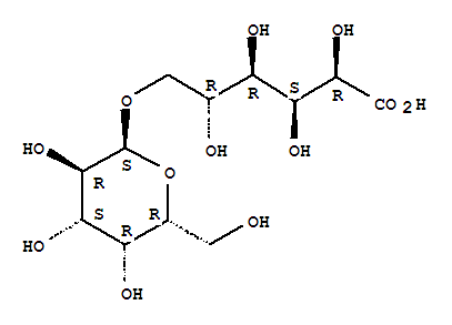
6-O-alpha-D-吡喃半乳糖基-D-葡萄糖酸
湖北省 武汉
- 产品名称
- 6-O-alpha-D-吡喃半乳糖基-D-葡萄糖酸
- CAS NO
- 21675-38-7
- 中文别名
- 英文名称
- D-Gluconic acid, 6-O-a-D-galactopyranosyl-
- 英文别名
- Melibionicacid (6CI,7CI,8CI); 6-O-a-D-Galactopyranosyl-D-gluconic acid
- 分子式
- C12H22O12
- 分子量
- 0
- EINECS
- 熔点
- 沸点
- 857.8°Cat760mmHg
- 毒性
- 公司规模
- 6-10人
- 认证信息
-
洛克
研发
- 公司类型
- 实验室
- 所在地区
- 湖北省 武汉
- 联系人
- 邵经理
- 电 话
- 16621771607
- QQ
- 2457984128
- 地 址
- 东西湖区宏图路金银潭现代企业城