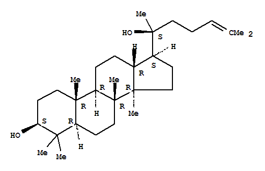
- 产品名称
- DAMMARENEDIOL II
- CAS NO
- 14351-29-2
- 中文别名
- 达玛烯二醇 II
- 英文名称
- Dammar-24-ene-3,20-diol,(3b)-
- 英文别名
- Dammar-24-ene-3b,20-diol, (20S)- (8CI);Dammarenediol II (6CI); (+)-Dammarenediol II; (20S)-Dammar-24-ene-3b,20-diol; 20S-Dammarenediol;20S-Dammarenediol II; Dammarenediol
- 分子式
- C30H52O2
- 分子量
- 0
- EINECS
- 熔点
- 130-133 °C
- 沸点
- 529.4 °C at 760 mmHg
- 毒性
- 公司规模
- 6-10人
- 认证信息
-
洛克
研发
- 公司类型
- 实验室
- 所在地区
- 湖北省 武汉
- 联系人
- 邵经理
- 电 话
- 16621771607
- QQ
- 2457984128
- 地 址
- 东西湖区宏图路金银潭现代企业城