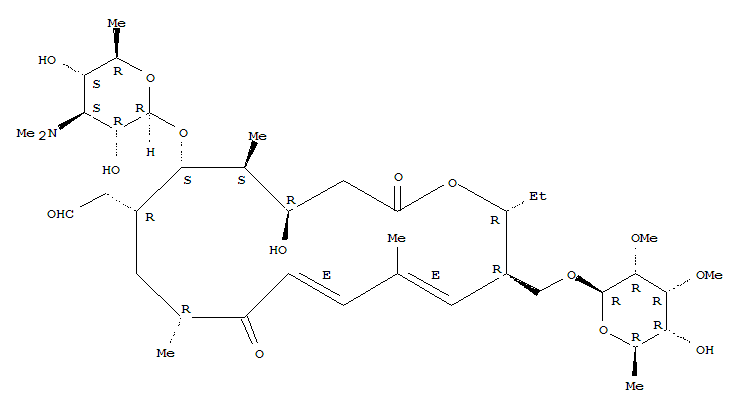
- 产品名称
- 去碳霉糖泰乐菌素
- CAS NO
- 11032-98-7
- 中文别名
- 去碳霉糖泰乐菌素
- 英文名称
- Tylosin,4A-O-de(2,6-dideoxy-3-C-methyl-a-L-ribo-hexopyranosyl)-
- 英文别名
- Desmycosin(6CI,8CI); Oxacyclohexadecane, tylosin deriv.; Demycarosyltylosin; Tylosin B
- 分子式
- C39H65NO14
- 分子量
- 0
- EINECS
- 熔点
- 114-116 °C(Solv: chloroform (67-66-3))
- 沸点
- 896.7°Cat760mmHg
- 毒性
- 公司规模
- 6-10人
- 认证信息
-
洛克
研发
- 公司类型
- 实验室
- 所在地区
- 湖北省 武汉
- 联系人
- 邵经理
- 电 话
- 16621771607
- QQ
- 2457984128
- 地 址
- 东西湖区宏图路金银潭现代企业城