返回产品详情

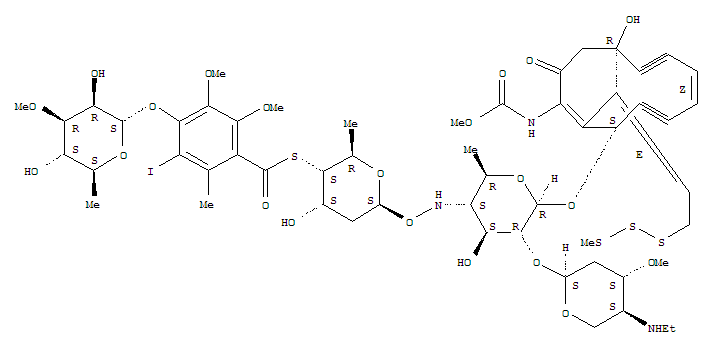
卡奇霉素 gamma1

卡奇霉素 gamma1

湖北广奥生物科技有限公司

湖北省 天门

产品名称
卡奇霉素 gamma1
CAS NO
108212-75-5
中文别名
英文名称
Carbamic acid,N-[(1R,4Z,8S,13E)-8-[[4,6-dideoxy-4-[[[2,6-dideoxy-4-S-[4-[(6-deoxy-3-O-methyl-a-L-mannopyranosyl)oxy]-3-iodo-5,6-dimethoxy-2-methylbenzoyl]-4-thio-b-D-ribo-hexopyranosyl]oxy]amino]-2-O-[2,4-dideoxy-4-(ethylamino)-3-O-methyl-a-L-threo-pentopyranosyl]-b-D-glucopyranosyl]oxy]-1-hydroxy-13-[2-(methyltrithio)ethylidene]-11-oxobicyclo[7.3.1]trideca-4,9-diene-2,6-diyn-10-yl]-,methyl ester
英文别名
Benzenecarbothioicacid, 4-[(6-deoxy-3-O-methyl-a-L-mannopyranosyl)oxy]-3-iodo-5,6-dimethoxy-2-methyl-, 4''-ester withmethyl [8-[[4,6-dideoxy-2-O-[2,4-dideoxy-4-(ethylamino)-3-O-methyl-a-L-threo-pentopyranosyl]-4-[[(2,6-dideoxy-4-thio-b-D-ribo-hexopyranosyl)oxy]amino]-b-D-glucopyranosyl]oxy]-1-hydroxy-13-[2-(methyltrithio)ethylidene]-11-oxobicyclo[7.3.1]trideca-4,9-diene-2,6-diyn-10-yl]carbamate,[1R-(1R*,4Z,8S*,13E)]-; Carbamic acid,[(1R,4Z,8S,13E)-8-[[4,6-dideoxy-4-[[[2,6-dideoxy-4-S-[4-[(6-deoxy-3-O-methyl-a-L-mannopyranosyl)oxy]-3-iodo-5,6-dimethoxy-2-methylbenzoyl]-4-thio-b-D-ribo-hexopyranosyl]oxy]amino]-2-O-[2,4-dideoxy-4-(ethylamino)-3-O-methyl-a-L-threo-pentopyranosyl]-b-D-glucopyranosyl]oxy]-1-hydroxy-13-[2-(methyltrithio)ethylidene]-11-oxobicyclo[7.3.1]trideca-4,9-diene-2,6-diyn-10-yl]-,methyl ester (9CI); Calicheamicin g1; Calicheamicin g1I; Calicheamicin g1aI; Calichemicin g1; Carbamic acid,[8-[[4,6-dideoxy-4-[[[2,6-dideoxy-4-S-[4-[(6-deoxy-3-O-methyl-a-L-mannopyranosyl)oxy]
分子式
C55H74IN3O21S4
分子量
1368.37
EINECS
熔点
沸点
°Cat760mmHg
毒性
@2009-2025 洛克化工网 浙ICP备16009103号