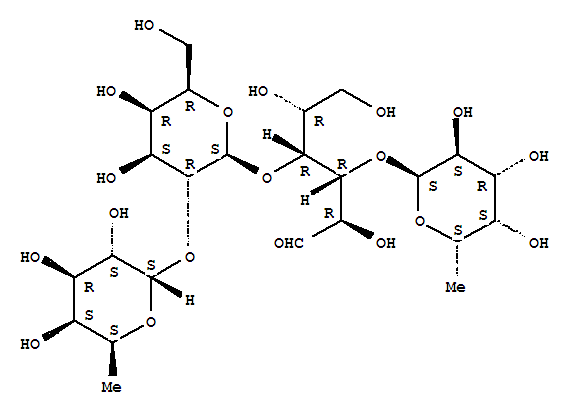
- 产品名称
- 乳-N-二岩藻四糖
- CAS NO
- 20768-11-0
- 中文别名
- 乳-N-二岩藻四糖
- 英文名称
- D-Glucose, O-6-deoxy-a-L-galactopyranosyl-(1®3)-O-[O-6-deoxy-a-L-galactopyranosyl-(1®2)-b-D-galactopyranosyl-(1®4)]-
- 英文别名
- Glucopyranose,O-6-deoxy-a-L-galactopyranosyl-(1®2)-O-b-D-galactopyranosyl-(1®4)-O-[6-deoxy-a-L-galactopyranosyl-(1®3)]-, D- (8CI); Glucopyranose, O-a-L-fucopyranosyl-(1®2)-O-b-D-galactopyranosyl-(1®4)-O-[a-L-fucopyranosyl-(1®3)]- (7CI); Difucosyllactose; Lactodifucotetraose
- 分子式
- C24H42O19
- 分子量
- 634.5789
- EINECS
- 熔点
- 沸点
- 1028.2 °C at 760 mmHg
- 毒性
成都乐美天医药科技有限公司专业生产乳-N-二岩藻四糖CasNo:20768-11-0纯度HPLC>95%,欢迎您的咨询留言!