返回产品详情

阿卡波糖

资川生化科技(苏州)有限公司

江苏省 苏州

产品名称
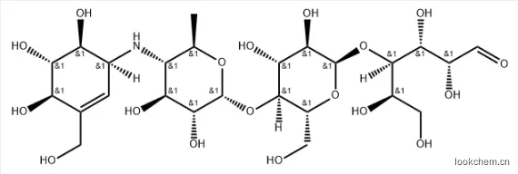
阿卡波糖
CAS NO
56180-94-0
中文别名
O-4,6-双脱氧-4[[(1S,4R,5S,6S)4,5,6-三羟基-3-(羟基甲基)-2-环己烯]氨基]-(-D-吡喃 葡糖基(1→4)-O-)-D-吡喃葡糖基(1→4)-D-吡喃葡萄糖
英文名称
acarbose
英文别名
D-Glucose,O-4,6-dideoxy-4-[[4,5,6-trihydroxy-3-(hydroxymethyl)-2-cyclohexen-1-yl]amino]-a-D-glucopyranosyl-(1®4)-O-a-D-glucopyranosyl-(1®4)-, [1S-(1a,4a,5b,6a)]-; Ascarbose; Glucobay; Prandase;Precose
分子式

C25H43NO18

分子量
645.61
EINECS
260-030-7
熔点
165-170oC
沸点
971.6oC at 760 mmHg
毒性
@2009-2026 洛克化工网 浙ICP备16009103号