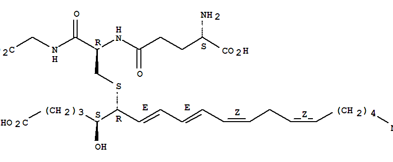
- 产品名称
- 白三烯C4
- CAS NO
- 72025-60-6
- 中文别名
- 英文名称
- Glycine, L-g-glutamyl-S-[(1R,2E,4E,6Z,9Z)-1-[(1S)-4-carboxy-1-hydroxybutyl]-2,4,6,9-pentadecatetraen-1-yl]-L-cysteinyl-
- 英文别名
- Glycine,L-g-glutamyl-S-[(1R,2E,4E,6Z,9Z)-1-[(1S)-4-carboxy-1-hydroxybutyl]-2,4,6,9-pentadecatetraenyl]-L-cysteinyl-(9CI); Glycine,N-[S-[1-(4-carboxy-1-hydroxybutyl)-2,4,6,9-pentadecatetraenyl]-N-L-g-glutamyl-L-cysteinyl]-,[R-[R*,S*-(E,E,Z,Z)]]-; 5S,6R-LTC4; LTC4; Leucotriene C4; Leukotriene C;Leukotriene C1; Leukotriene C4
- 分子式
- C30H47N3O9S
- 分子量
- 625.77
- EINECS
- 熔点
- 沸点
- 974.3°C at 760 mmHg
- 毒性
- 公司规模
-
- 认证信息
-
- 公司类型
- 贸易商
- 所在地区
- 广东省 广州
- 联系人
- 陈凡
- 电 话
- 020-87687760
- QQ
- 地 址
- 广州市先烈中路100号大院9号楼1002房