返回产品详情

神经肽-FF
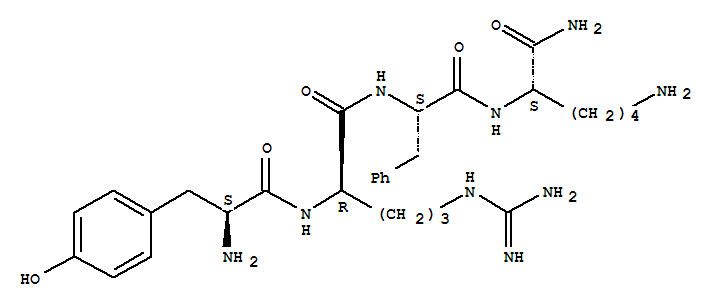
产品名称
神经肽-FF
CAS NO
99566-27-5
中文别名
Phe-Leu-Phe-Gln-Pro-Gln-Arg-Phe amide
英文名称
Neuropeptide FF(cattle) (9CI)
英文别名
NeuropeptideFF (ox); 59: PN: WO0131005 SEQID: 59 claimed protein; 5: PN: WO0114883 SEQID: 6claimed protein; F8F-amide; L-Phenylalaninamide,L-phenylalanyl-L-leucyl-L-phenylalanyl-L-glutaminyl-L-prolyl-L-glutaminyl-L-arginyl-;Neuropeptide FF; Neuropeptide FF (human); Neuropeptide FF (mouse); NeuropeptideFF (rat)
分子式
C54H76N14O10
分子量
1081.27
EINECS
熔点
沸点
毒性
@2009-2026 洛克化工网 浙ICP备16009103号