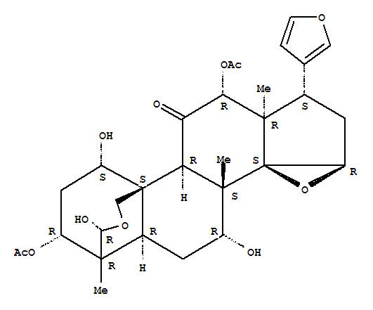
- 产品名称
- 苦楝素; 川楝素
- CAS NO
- 58812-37-6
- 中文别名
- 28-Deacetylsendanin; Chuanliansu
- 英文名称
- 24-Norchola-20,22-diene-4-carboxaldehyde,3,12-bis(acetyloxy)-14,15:21,23-diepoxy-1,7,19-trihydroxy-4,8-dimethyl-11-oxo-,cyclic 4,19-hemiacetal, [C(R),1a,3a,4b,5a,7a,12a,13a,14b,15b,17a]-
- 英文别名
- 24-Norchola-20,22-diene-4-carboxaldehyde,3,12-bis(acetyloxy)-14,15:21,23-diepoxy-1,7,19-trihydroxy-4,8-dimethyl-11-oxo-,cyclic 4,19-hemiacetal, [1a,3a,4b(R),5a,7a,12a,13a,14b,15b,17a]-; 14,15-Epoxy-4,10-(methanoxymethano)-1H-cyclopenta[a]phenanthrene,24-norchola-20,22-diene-4-carboxaldehyde deriv.; 28-Deacetylsendanin;Chuanliansu; Toosendanin
- 分子式
- C30H38O11
- 分子量
- 574.62
- EINECS
- 熔点
- 178-180oC
- 沸点
- 714oC at 760 mmHg
- 毒性
我们是实验室 还有很多定制款 没来得及整理 后期有需要可以随时联系我
航宇生物技术是中国领先的化学品制造商和供应商。我们开发、生产和分销高质量的药品、中间体、特种化学品、OLED中间体和其他精细化学品。淄博航宇化工拥有一支由专业分析部门组成的团队,在严格的SOP下完成质量控制和质量保证,经验丰富的销售和售后服务,高效的物流支持。我们与我们的中试工厂和生产团队密切合作,确保及时、经济高效地生产高质量的产品,我们的使命是为客户的中试和规模需求找到解决方案。