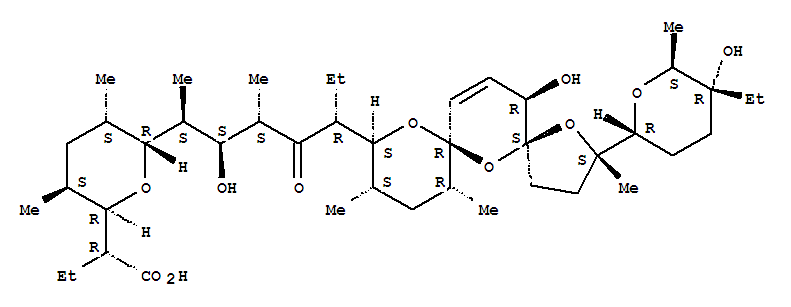
- 产品名称
- 甲基盐霉素钠
- CAS NO
- 55134-13-9
- 中文别名
- 甲基沙利霉素
- 英文名称
- Salinomycin, 4-methyl-,(4S)-
- 英文别名
- 1,6,8-Trioxadispiro[4.1.5.3]pentadecane,salinomycin deriv.; A 28086A; Antibiotic A 28086A; Antibiotic C 7819B; C 7819B;Monteban; Narasin; Narasin A; Narasul
- 分子式
- C43H72O11
- 分子量
- 765.03
- EINECS
- 熔点
- 98-100°
- 沸点
- 842.5°C at 760 mmHg
- 毒性
我们是实验室 还有很多定制款 没来得及整理 后期有需要可以随时联系我
航宇生物技术是中国领先的化学品制造商和供应商。我们开发、生产和分销高质量的药品、中间体、特种化学品、OLED中间体和其他精细化学品。淄博航宇化工拥有一支由专业分析部门组成的团队,在严格的SOP下完成质量控制和质量保证,经验丰富的销售和售后服务,高效的物流支持。我们与我们的中试工厂和生产团队密切合作,确保及时、经济高效地生产高质量的产品,我们的使命是为客户的中试和规模需求找到解决方案。